Cómo Quitar la Interfaz de Valheim fypage fypp

Cómo Quitar la Interfaz de Valheim fypage fypp


Видео: Cómo Quitar la Interfaz de Valheim fypage fypp

RuTube

Тайные сокровища

Опубликовано: 24.04.2024 | Продолжительность: 00:00:35


En este corto video de Valheim os explico cómo quitar la interfaz del juego para hacer unas capturas de pantallas maravillosas. valheim gaming viking valheimgaming valheimgamingmusic valheimneebsgaming neebsgamingvalheimsupercut tamilangamingvalheim vertiigogamingvalheim neebsgamingvalheimplaylist kadiyagamingvalheim gtxgamingvalheimserver tomatogamingvalheim z1gamingvalheim asmongoldgamingvalheim valheimcloudgaming valheimforcegaming valheimgamereview valheimgameplay valheimgametrailer valheimgameofthrones valheimgamepreviewxbox valheimgamepassconsolecommands valheimgamemodes valheimgamedesign valheimgameslike valheimgameprogression valheimgamesoundtrack valheimgameitout valheimgamingand valheimvideogame valheimplayingwithfriends,

#Asmongoldgamingvalheim #Gaming #Gtxgamingvalheimserver #Kadiyagamingvalheim #Neebsgamingvalheimplaylist #Neebsgamingvalheimsupercut #Tamilangamingvalheim #Tomatogamingvalheim #Valheim #Valheimcloudgaming #Valheimforcegaming #Valheimgameplay #Valheimgamereview #Valheimgametrailer #Valheimgaming #Valheimgamingmusic #Valheimneebsgaming #Vertiigogamingvalheim #Viking #Z1gamingvalheim

Категория видео: Видеоигры


жб пг
Смотреть
Channel47311137
  2025-10-10 в 18:17:46
Сколько стоит 1$??? Капитализация
Смотреть
PLUS ONE ARABIC- UNIT 2 POEM (KAM THASHTHAKEE)
Смотреть
Тайные сокровища
  2024-05-02 в 08:42:25
PANZAR/ ПАНЗАР
Смотреть
Гайка и Вжик
  2025-10-10 в 18:23:53
Луна убица
Смотреть
Сок32
  2025-10-10 в 18:16:43
ЮТУБЕР IVY НЕ ЧИТЕР ? СЕРЬЁЗНО ?
Смотреть
Тайные сокровища
  2024-05-02 в 08:33:41
Сбиваю х5. Пабгер в Tanks Blitz
Смотреть
НАТОЧИТЬ - что это такое? значение и описание
Смотреть
Русская свадьба в Дагестане
Смотреть
Тайные сокровища
  2024-05-02 в 07:58:58
Мбаппе кладёт ножницами
Смотреть
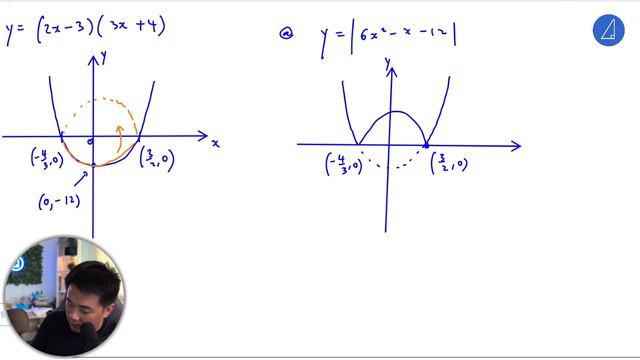
Sketch Y = | 6 X² - X -12 | And Y = | E²ˣ - 3 |.
Смотреть
Тайные сокровища
  2024-05-02 в 08:07:04
Вредные советы и китайский спортзал
Смотреть
The Dutch Van Der Linde Cannibal Theory - Red Dead Redemption
Смотреть
Королевство
Смотреть
Channel38903155
  2025-10-10 в 18:18:59
3.0454 сек.