Разбор задачи 1 на нахождение пути при равноускоренном движении через площадь фигуры

Разбор задачи 1 на нахождение пути при равноускоренном движении через площадь фигуры


Видео: Разбор задачи 1 на нахождение пути при равноускоренном движении через площадь фигуры

RuTube

Физика Лицей4

Опубликовано: 09.10.2025 | Продолжительность: 00:07:17


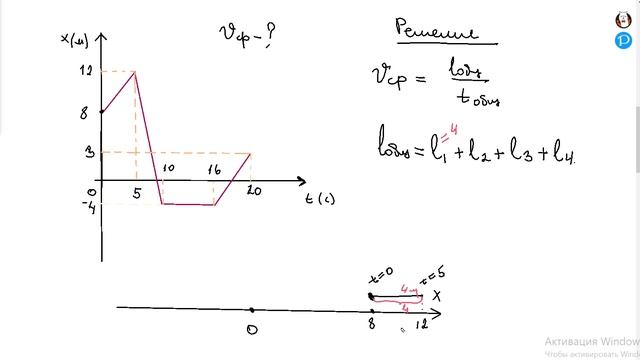
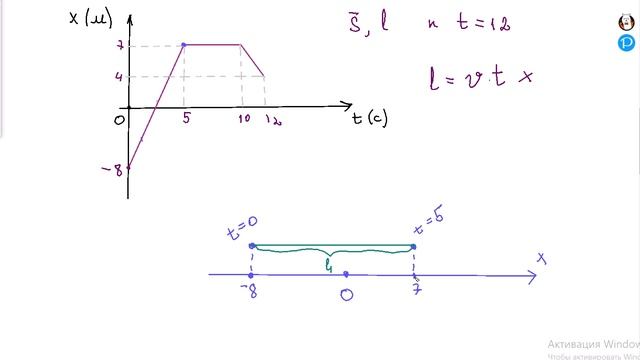
Разбирается нахождение пути при равноускоренном движении без использования формулы а через площадь фигуры под графиком зависимости скорости от времени.,

Категория видео: Обучение


Предложения с Present Continuous.mp4
Смотреть
Английский язык для 4а
  2025-10-11 в 13:15:03
Решение задач с пояснением
Смотреть
Манд - уровень 1
Смотреть
Елена Хорошева
  2025-10-11 в 13:10:30
Выполнение6
Смотреть
Yaroslav Merkulov
  2025-10-11 в 13:29:16
Определение размеров молекул
Смотреть
Моделирование в BlenderForDenal: Балка + зуб
Смотреть
CAD/CAM Технологии в Деталях
  2025-10-11 в 13:26:08
3.1689 сек.